题目内容
如图,△ABC中,∠C=90°,AC=16cm,AB的中垂线MN交AC于点D,连接BD,若cos∠BDC=A.8cm
B.4cm
C.6cm
D.10cm
【答案】分析:根据垂直平分线性质可知BD=AD,所以BD+CD=AC;根据cos∠BDC=
可求出BD和CD,从而根据勾股定理求出BC.
解答:解:∵MN为AB的中垂线,
∴BD=AD.
设AD=acm,
∴BD=acm,CD=(16-a)cm,
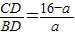
∴cos∠BDC=
=
,
∴a=10.
∴在Rt△BCD中,CD=6cm,BD=10cm,
∴BC=8cm.
故选A.
点评:此题考查了线段垂直平分线的性质和勾股定理.
解答:解:∵MN为AB的中垂线,
∴BD=AD.
设AD=acm,
∴BD=acm,CD=(16-a)cm,
∴cos∠BDC=
∴a=10.
∴在Rt△BCD中,CD=6cm,BD=10cm,
∴BC=8cm.
故选A.
点评:此题考查了线段垂直平分线的性质和勾股定理.
练习册系列答案
相关题目