题目内容
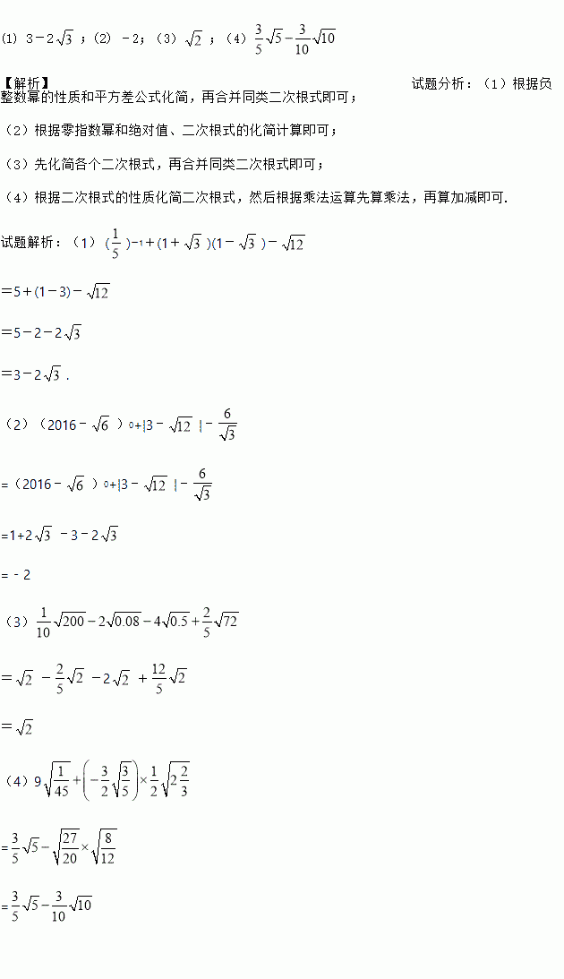
计算(1)()-1+(1+)(1-)-;
(2)(2016﹣)0+|3﹣|﹣;
(3);
(4)9.
腾飞中学在教学楼前新建了一座“腾飞”雕塑(如图①).为了测量雕塑的高度,小明在二楼找到一点C,利用三角板测得雕塑顶端A点的仰角为,底部B点的俯角为,小华在五楼找到一点D,利用三角板测得A点的俯角为(如图②).若已知CD为10米,请求出雕塑AB的高度.(结果精确到0.1米,参考数据).
如图,在长方形中, 是边上一动点,连接,过点作的垂线,垂足为,交于点,交于点.
(1)当=,且是的中点时,求证: =.
(2)在(1)的条件下,求的值;
(3)类比探究:若=3, =2,则= .
如图,已知直线经过点,∠1=∠,∠2=50°,则∠3的度数为( )
A. 50° B. 40° C. 130° D. 80°
已知:在△ABC中,∠B=30°,∠C=45°,AC=2.求:
(1)AB、BC的长;
(2)△ABC的面积.
计算÷8×=_________.
已知中, ,则它的三条边之比为( ).
A. B. C. D.
计算93﹣92﹣8×92的结果是________.
如图,AB∥CD,BC∥DE,试比较∠B与∠D的大小,并说明理由.