题目内容
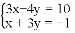
如图,在平面直角坐标系中,直线l1:
分别与x轴、y轴交于点B、C,且与直线l2:
交于点A.
(1)求出点A的坐标
(2)若D是线段OA上的点,且△COD的面积为12,求直线CD的解析式
(3)在(2)的条件下,设P是射线CD上的点,在平面内是否存在点Q,使以O、C、P、Q为顶点的四边形是菱形?若存在,直接写出点P的坐标;若不存在,请说明理由.
![]()
练习册系列答案
相关题目
题目内容
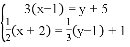
如图,在平面直角坐标系中,直线l1:
分别与x轴、y轴交于点B、C,且与直线l2:
交于点A.
(1)求出点A的坐标
(2)若D是线段OA上的点,且△COD的面积为12,求直线CD的解析式
(3)在(2)的条件下,设P是射线CD上的点,在平面内是否存在点Q,使以O、C、P、Q为顶点的四边形是菱形?若存在,直接写出点P的坐标;若不存在,请说明理由.
![]()