题目内容
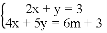
解方程组:
.
“赏中华诗词,寻文化基因,品生活之美”,某校举办了首届“中国诗词大会”,经选拔后有50名学生参加决赛,这50名学生同时默写50首古诗词,若每正确默写出一首古诗词得2分,根据测试成绩绘制出部分频数分布表和部分频数分布直方图如图表:
组别 | 成绩x分 | 频数 |
第1组 |
| 6 |
第2组 |
| 8 |
第3组 |
| 14 |
第4组 |
| a |
第5组 |
| 10 |
请结合图表完成下列各题
求表中a的值;![]()
频数分布直方图补充完整;![]()
小亮想根据此直方图绘制一个扇形统计图,请你帮他算出成绩为![]()
这一组所对应的扇形的圆心角的度数;![]()
若测试成绩不低于80分为优秀,则本次测试的优秀率![]()
百分比![]()
是多少?![]()
![]()
定向越野作为一种新兴的运动项目,深受人们的喜爱. 这种定向运动是利用地图和指北针到访地图上所指示的各个点标,以最短时间按序到达所有点标者为胜. 下面是我区某校进行定向越野活动中,中年男子组的成绩(单位:分:秒).
9:01 14:45 9:46 19:22 11:20 18:47 11:40 12:32 11:52 13:45
22:27 15:00 17:30 13:22 18:34 10:45 19:24 16:26 21:33 15:31
19:50 14:27 15:55 16:07 20:43 12:13 21:41 14:57 11:39 12:45
12:57 15:31 13:20 14:50 14:57 9:41 12:13 14:27 12:25 12:38
例如,用时最少的赵老师的成绩为9:01,表示赵老师的成绩为9分1秒.
![]()
以下是根据某校进行定向越野活动中,中年男子组的成绩中的数据,绘制的统计图表的一部分.
某校中年男子定向越野成绩分段统计表
分组/分 | 频数 | 频率 |
9≤x<11 | 4 | 0.1 |
11≤x<13 | b | 0.275 |
13≤x<15 | 9 | 0.225 |
15≤x<17 | 6 | d |
17≤x<19 | 3 | 0.075 |
19≤x<21 | 4 | 0.1 |
21≤x<23 | 3 | 0.075 |
合计 | a | c |
(1)这组数据的极差是____________;
(2)上表中的a =____________ ,b =____________ , c =____________, d =____________;
(3)补全频数分布直方图.