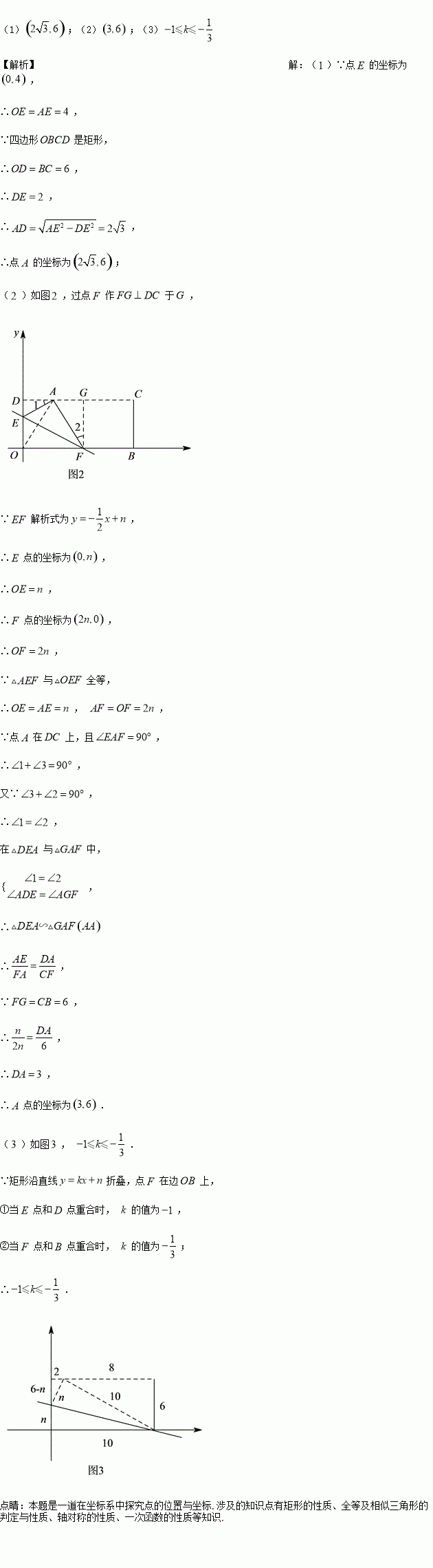
题目内容
问题:在平面直角坐标系
中,一张矩形纸片
按图
所示放置.已知
,
,将这张纸片折叠,使点
落在边
上,记作点
,折痕与边
(含端点).
交于点
,与边
(含端点)或其延长线交于点
.
![]()
问题探究:
(
)如图
,若点
的坐标为
,直接写出点
的坐标________;
(
)将矩形沿直线
折叠,求点
的坐标;
问题解决:
(
)将矩形沿直线
折叠,点
在边
上(含端点),求
的取值范围.
练习册系列答案
相关题目
某班第一组12名同学在“爱心捐款”活动中,捐款情况统计如下表,则捐款数组成的一组数据中,中位数与众数分别是( )
捐款(元) | 10 | 15 | 20 | 50 |
人数 | 1 | 5 | 4 | 2 |
A. 15,15 B. 17.5,15 C. 20,20 D. 15,20