题目内容
二次函数y=(1)当点A的横坐标为-2时,求点B的坐标;
(2)在(1)的情况下,分别过点A,B作AE⊥x轴于E,BF⊥x轴于F,在EF上是否存在点P,使∠APB为直角?若存在,求点P的坐标;若不存在,请说明理由;
(3)当点A在抛物线上运动时(点A与点O不重合),求AC•BD的值.
【答案】分析:(1)已知二次函数解析式,及A点横坐标-2,可求A点纵坐标
,故MC=2-
=
,设点B的坐标为(x,
x2),由Rt△BDM∽Rt△ACM,得相似比,可求x的值,确定B点坐标;
(2)若∠APB=90°,利用互余关系可得出△AEP∽△PFB,设EP=a,则PF=10-a,而AE=
,BF=8,利用相似比可求A,可得P的坐标;
(3)依题意设A(m,
m2),B(n,
n2),且m<0,n>0,由Rt△BDM∽Rt△ACM,类似(1),用含m,n的式子表示相关线段的长,利用相似比得出m,n的关系式,此时AC•BD=-mn.
解答:
解:(1)根据题意,设点B的坐标为(x,
x2),其中x>0.
∵点A的横坐标为-2,
∴A(-2,
).(2分)
∵AC⊥y轴,BD⊥y轴,M(0,2),
∴AC∥BD,MC=
,MD=
x2-2.
∴Rt△BDM∽Rt△ACM.
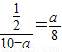
∴
.
即
.
解得x1=-2(舍去),x2=8.
∴B(8,8).(5分)
(2)存在.(6分)
连接AP,BP,
由(1),AE=
,BF=8,EF=10.
设EP=a,则PF=10-a.
∵AE⊥x轴,BF⊥x轴,∠APB=90°,
∴△AEP∽△PFB.
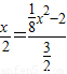
∴
,
∴
.
解得a=5±
.
经检验a=5±
均为原方程的解,
∴点P的坐标为(5+
,0)或(5-
,0).(8分)
(3)根据题意,设A(m,
m2),B(n,
n2),不妨设m<0,n>0.
由(1)知
,
则
或
.
化简,得(mn+16)(m-n)=0.
∵m-n≠0,
∴mn=-16.
∴AC•BD=16.(10分)
点评:本题考查了点的坐标求法,相似三角形的判定及性质运用,要求掌握点的坐标与线段长的关系;
本题(1)也可以先求直线AM的解析式,再与抛物线解析式联立,求B点坐标.
(2)若∠APB=90°,利用互余关系可得出△AEP∽△PFB,设EP=a,则PF=10-a,而AE=
(3)依题意设A(m,
解答:
∵点A的横坐标为-2,
∴A(-2,
∵AC⊥y轴,BD⊥y轴,M(0,2),
∴AC∥BD,MC=
∴Rt△BDM∽Rt△ACM.
∴
即
解得x1=-2(舍去),x2=8.
∴B(8,8).(5分)
(2)存在.(6分)
连接AP,BP,
由(1),AE=
设EP=a,则PF=10-a.
∵AE⊥x轴,BF⊥x轴,∠APB=90°,
∴△AEP∽△PFB.
∴
∴
解得a=5±
经检验a=5±
∴点P的坐标为(5+
(3)根据题意,设A(m,
由(1)知
则
化简,得(mn+16)(m-n)=0.
∵m-n≠0,
∴mn=-16.
∴AC•BD=16.(10分)
点评:本题考查了点的坐标求法,相似三角形的判定及性质运用,要求掌握点的坐标与线段长的关系;
本题(1)也可以先求直线AM的解析式,再与抛物线解析式联立,求B点坐标.
练习册系列答案
相关题目