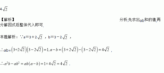
题目内容
已知a=3+2,b=3-2,求a2b-ab2的值.
三角形的边长之比为:①1.5∶2∶2.5;②4∶7.5∶8.5;③1∶∶2;④3.5∶4.5∶5.5.其中可以构成直角三角形的有( )
A. 1个 B. 2个 C. 3个 D. 4个
已知a,b为实数,且ab=1,设M=,N=,则M,N的大小关系是( )
A. M>N B. M=N
C. M<N D. 无法确定
,则x与y的关系是 ( )
A. x+y≠0 B. x与y相等
C. x与y互为相反数 D.
﹣27的立方根为( )
A. 3 B. ﹣3 C. ±3 D. 不存在
已知关于x的一元二次方程.
(1)若该方程有实数根,求a的取值范围;
(2)若该方程一个根为-1,求方程的另一个根.
若关于x的方程有实数根,则k的取值范围是
A. B. C. D.
如图是由一个圆柱体和一个长方体组成的几何体,其左视图是
如图,A,B两地被池塘隔开,小明通过下列方法测出了A,B间的距离:先在AB外选一点C,然后测出AC,BC的中点M,N,并测量出MN的长为12m,由此他就知道了A,B间的距离有关他这次探究活动的描述错误的是( )
A. B. CM:CA=1:2 C. MN//AB D. AB=24cm