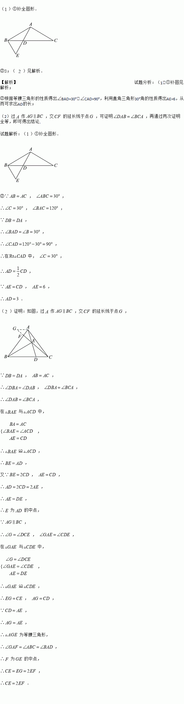
题目内容
在中, , 为线段上一点, , 为射线上一点,且,连接.
()如图,
①依题意补全图形.
②若, ,求的长.
()如图,若,连接并延长,交于点,求证: .
下列调查中,①调查本班同学的视力;②调查一批节能灯管的使用寿命;③为保证“神舟10号”的成功发射,对其零部件进行检查;④对乘坐某班次客车的乘客进行安验.其中适合采用抽样调查的是( )
A. ① B. ② C. ③ D. ④
(杭州中考)某汽车厂去年每个季度汽车销售数量(辆)占当季汽车产量(辆)的百分比的统计图如图所示,根据统计图回答下列问题:
(1)若第一季度的汽车销售数量为2 100辆,求该季度的汽车产量;
(2)圆圆同学说:“因为第二、第三这两个季度汽车占当季汽车产量的百分比由75%降为50%,所以第二季度的汽车产量一定高于第三季度的汽车产量”,你觉得圆圆说得对吗?为什么?
已知关于x的方程x2-3x+2k=0的一个根是1,则k= 。
用配方法解方程时,原方程应变形为( )
A. B. C. D.
解不等式组.
已知, ,则可以表示为( ).
如图.EO 的直径 垂直于弦CD,垂足是E, ∠A=22.5°,OC=4, CD的长为 ( )
A. 2 B. C. 4 D. 8
已知关于x的不等式组的解集恰含有2个整数解,则实数a的取值范围是 _________ .