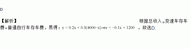
题目内容

据调查,某地铁自行车存放处在某星期天的存车量为4 000辆次,其中变速车存车费是每辆一次0.30元,普通自行车存车费是每辆一次0.20元,若普通自行车存车数为x辆,存车费总收入为y元,则y关于x的函数关系式为( )

A. y=0.10x+800(0≤x≤4 000) B. y=0.10x+1 200(0≤x≤4 000)

C. y=-0.10x+800(0≤x≤4 000) D. y=-0.10x+1 200(0≤x≤4 000)

练习册系列答案
相关题目

违法和不良信息举报电话:027-86699610 举报邮箱:58377363@163.com

精英家教网