题目内容
如图,反比例函数 y=(1)求反比例函数与一次函数的函数关系式;
(2)根据图象,直接回答:当x取何值时,一次函数的值大于反比例函数的值;______
(3)连接AO、BO,求△ABO的面积.
【答案】分析:(1)把点(1,3)代入反比例函数y=
即可求出k的值,进而求出反比例函数的解析式;再把点B的坐标代入反比例函数的关系式求出n的值,把AB两点坐标代入一次函数的关系式即可求出一次函数的关系式;
(2)由(1)中AB两点的坐标,结合函数图象可直接得出结论;
(3)根据(1)中求出的一次函数的关系式求出点D的坐标,再根据S△ABO=S△AOD+S△ABD进行解答;
解答:
解:(1)∵反比例函数y=
过A(1,3),
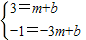
∴3=
,即k=3,
∴此反比例函数的解析式为:y=
;
∵反比例函数y=
过B(n,-1),
∴-1=
,解得n=-3;
∵一次函数y=mx+b的图象交于两点A(1,3),B(-3,-1).
∴
,解得
∴一次函数y=mx+b的解析式为:y=x+2;
(2)∵A(1,3),B(-3,-1),
由函数图象可知,当-3<x<0或x>1时一次函数的图象在反比例函数图象的上方,
∴当-3<x<0或x>1时一次函数的值大于反比例函数的值;
(3)∵直线AB的解析式为y=x+2,
∴D(0,2),
∴OD=2,
∵A(1,3),B(-3,-1),
∴S△ABO=S△AOD+S△ABD=
×2×|-3|+
×2×1=3+1=4.
点评:本题考查的是反比例函数与一次函数的交点问题及用待定系数法求一次函数及反比例函数的关系式,在解(2)时能根据函数的图象求解是解答此题的关键.
(2)由(1)中AB两点的坐标,结合函数图象可直接得出结论;
(3)根据(1)中求出的一次函数的关系式求出点D的坐标,再根据S△ABO=S△AOD+S△ABD进行解答;
解答:
∴3=
∴此反比例函数的解析式为:y=
∵反比例函数y=
∴-1=
∵一次函数y=mx+b的图象交于两点A(1,3),B(-3,-1).
∴
∴一次函数y=mx+b的解析式为:y=x+2;
(2)∵A(1,3),B(-3,-1),
由函数图象可知,当-3<x<0或x>1时一次函数的图象在反比例函数图象的上方,
∴当-3<x<0或x>1时一次函数的值大于反比例函数的值;
(3)∵直线AB的解析式为y=x+2,
∴D(0,2),
∴OD=2,
∵A(1,3),B(-3,-1),
∴S△ABO=S△AOD+S△ABD=
点评:本题考查的是反比例函数与一次函数的交点问题及用待定系数法求一次函数及反比例函数的关系式,在解(2)时能根据函数的图象求解是解答此题的关键.
练习册系列答案
相关题目