题目内容
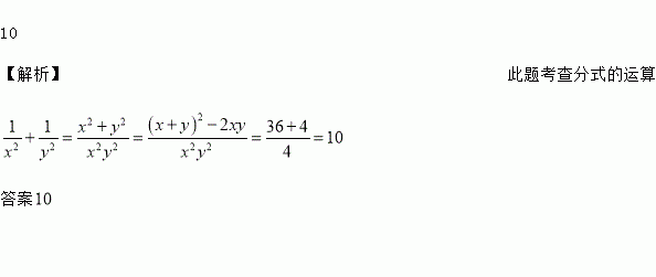
已知x+y=6,xy=-2,则=______.
甲队有51个人,乙队有45个人,从乙队调若干人到甲队后,甲队的人数恰好是乙队的3倍,求变化后乙队有多少人?若设变化后乙队有x人,可列方程为:
A. 51+x=3(45-x) B. 51-x=3(45+x) C. 3x-51=45-x D. 51-3x=x-45
计算:(1) (2)
下列计算正确的是( )
A.+= B.·=
C. D.÷=
解方程: .
如图,函数y=-x与函数y=-的图象相交于A,B两点,过A,B两点分别作y轴的垂线,垂足分别为点C,D,则四边形ACBD的面积为( )
A. 2 B. 4 C. 6 D. 8
某人匀速跑步到公园,在公园里某处停留了一段时间,再沿原路匀速步行回家,此人离家的距离y与时间x的关系的大致图象是( )
ABC.D.
如图,方格纸上一圆经过(2,5),(-2,1),(2,-3),(6,1) 四点,则该圆圆心的坐标为( )
A. (2,-1) B. (2,2) C. (2,1) D. (3,1)
某商品的价格标签已丢失,售货员只知道“它的进价为80元,打七折售出后,仍可获利4元”,你认为售货员应标在标签上的价格是______________.