题目内容
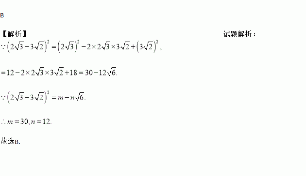
若(2-3)2=m-n(m,n为有理数),则m,n的值分别为( )
A. m=30,n=6 B. m=30,n=12
C. m=30,n=-12 D. m=12,n=-12
在方程3x﹣y=2, , ,x2﹣2x﹣3=0中一元一次方程的个数为( )
A. 1个 B. 2个 C. 3个 D. 4个
二次函数y=﹣3(x﹣1)2的最大值是( )
A. 3 B. 0 C. 1 D. ﹣1
将一个正方体沿某些棱展开后,能够得到的平面图形是( ).
A. B. C. D.
进行二次根式的化简时,我们有时会碰上如, , 这样的式子,其实我们还可以将其进一步化简:
;(一)
;(二)
.(三)
以上这种化简的步骤叫做分母有理化.
我们还可以用以下方法化简:
.(四)
(1)请用不同的方法化简:
参照(三)式得=____________________;
参照(四)式得=____________________.
(2)化简: +++…+.
计算:(+1)( -1)=________.
如图,在矩形ABCD中,BC=24cm,P,Q,M,N分别从A,B,C,D出发沿AD,BC,CB,DA方向在矩形的边上同时运动,当有一个点先到达所在运动边的另一个端点时,运动即停止.
已知在相同时间内,若BQ=x cm(x≠0),则AP=2x cm,CM=3x cm,DN=x2cm.
(1)当x为何值时,以P、N两点重合?
(2)问Q、M两点能重合吗?若Q、M两点能重合,则求出相应的x的值;若Q、M两点不能重合,请说明理由.
(3)当x为何值时,以P,Q,M,N为顶点的四边形是平行四边形.
实数a,b在数轴上的位置如图所示,则化简的结果为( )
A. b B. ﹣b C. 2a﹣b D. ﹣2a+b
直线l1:y=k1x+b与直线l2:y=k2x在同一平面直角坐标系中的图象如图所示,则关于x的不等式k2x>k1x+b的解集为 .