题目内容
由物理学知识我们知道:物体在力F(牛顿)的方向上发生位移S(米)做的功为W(焦耳),即W=FS,若W=100焦耳,求:
(1)F与S的关系式;
(2)当F=4牛顿时,求物体在力的方向上发生的位移S.
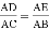
如图,直线 a∥b,直线 c 与直线 a 、b 分别交于 A 、B,AD⊥b,垂足为 D,若∠1=47°, 则∠2 的度数为_____.
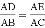
如图,已知△ADE∽△ACB,那么下列比例式正确的有( )
①;②;③;④.
A. 1个 B. 2个 C. 3个 D. 4个
如图,边长为4的正方形ABCD外切于⊙O,切点分别为E、F、G、H.则图中阴影部分的面积为______.
已知⊙O和⊙O上的一点A,作⊙O的内接正方形和内接正六边形(点A为正方形和正六边形的顶点).
若正六边形的半径为4,则它的边长等于( )
A. 4 B. 2 C. 2 D. 4
某村耕地总面积为50公顷,且该村人均耕地面积y(单位:公顷/人)与总人口x(单位:人)的函数图象如图所示,则下列说法正确的是( )
A. 该村人均耕地面积随总人口的增多而增多
B. 该村人均耕地面积y与总人口x成正比例
C. 若该村人均耕地面积为2公顷,则总人口有100人
D. 当该村总人口为50人时,人均耕地面积为1公顷
如图,△ABC和△DEF有一部分重叠在一起(图中阴影部分),重叠部分的面积是△ABC面积的,是△DEF面积的,且△ABC与△DEF面积之和为26,则重叠部分面积是____.
如图,从楼AB的A处测得对面楼CD的顶部C的仰角为37°,底部D的俯角为45°,两楼的水平距离BD为24 m,那么楼CD的高度约为________ m.(结果精确到1 m,参考数据:sin37°≈0.6,cos37°≈0.8,tan37°≈0.75)