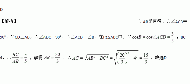
题目内容
如图是以△ABC的边AB为直径的半圆O,点C恰好在半圆上,过C作CD⊥AB交AB于点D.已知cos∠ACD=,BC=4,则AC的长为( )
A. 1 B. C. 3 D.
已知α为锐角,且sin(α-10°)=,则α等于( )
A. 50° B. 60° C. 70° D. 80°
(3分)平面上不重合的两点确定一条直线,不同三点最多可确定3条直线,若平面上不同的n个点最多可确定28条直线,则n的值是( )
A. 6 B. 7 C. 8 D. 9
在△ABC中,∠C=90°.
(1)已知:c=8,∠A=60°,求∠B及a,b的值;
(2)已知:a=3,c=6,求∠A,∠B及b的值.
已知在Rt△ABC中,∠C=90°,sinA=,则tanB的值为________.
如图,在平面直角坐标系中,直线OA过点(2,1),则tanα的值是( )
A. B. C. D. 2
两条直线被一组平行线所截,所得的对应线段_______.平行于三角形一边的直线截其他两边(或两边的延长线),所得的对应线段__________.
已知是方程ax-y=3的解,则a的值为________.
已知9m·27m-1÷32m的值为27,求m的值.