题目内容
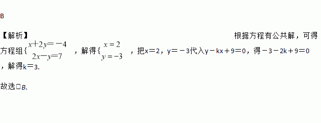
如果方程x+2y=-4,2x-y=7,y-kx+9=0有公共解,则k的解是( )
A. -3 B. 3 C. 6 D. -6
成都地铁自开通以来,发展速度不断加快,现已成为成都市民主要出行方式之一.今年4月29日成都地铁安全运输乘客约181万乘次,又一次刷新客流纪录,这也是今年以来第四次客流纪录的刷新,用科学记数法表示181万为()
A. 18.1×105 B. 1.81×106 C. 1.81×107 D. 181×104
如图,在矩形ABCD中AB=3,AD=5,点E在DC上,将矩形ABCD沿AE折叠,点D恰好落在BC边上的点F处,那么的值是 _________.
解方程组
(1) (2)
命题“内错角相等”的题设是____________________,这个命题是_________命题(填“真”或“假”).
如图,下列条件中不能判断的是 ( )
A. ∠3=∠4 B. ∠1=∠∠5 C. ∠1+∠4=180° D. ∠3=∠5
已知一个数的平方根是和,求这个数的立方根.
在直角坐标平面内,直线y=x+2分别与x轴、y轴交于点A、C.抛物线y=﹣+bx+c经过点A与点C,且与x轴的另一个交点为点B.点D在该抛物线上,且位于直线AC的上方.
(1)求上述抛物线的表达式;
(2)联结BC、BD,且BD交AC于点E,如果△ABE的面积与△ABC的面积之比为4:5,求∠DBA的余切值;
(3)过点D作DF⊥AC,垂足为点F,联结CD.若△CFD与△AOC相似,求点D的坐标.
函数的图像如图所示,则当时,的取值范围是________.