题目内容
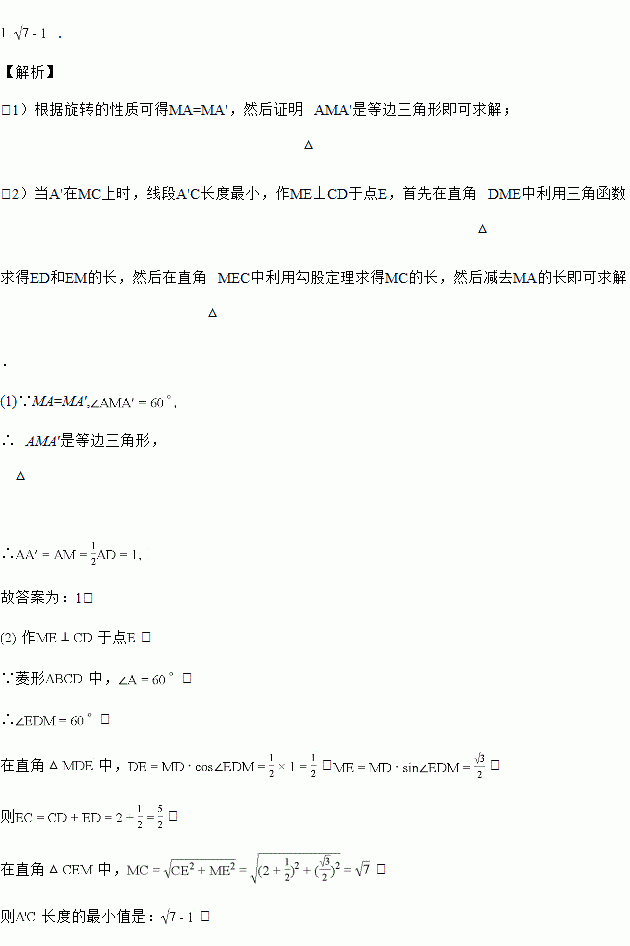
在边长为的菱形中,,是边的中点,若线段绕点旋转得到线段
如图①,当线段绕点逆时针旋转时,线段的长________;
如图②,连接,则长度的最小值是________.
某校开展了“互助、平等、感恩、和谐、进取”主题班会活动,活动后,就活动的个主题进行了抽样调查(每位同学只选最关注的一个),根据调查结果绘制了两幅不完整的统计图.根据图中提供的信息,解答下列问题:
(1)这次调查的学生共有多少名?
(2)请将条形统计图补充完整,并在扇形统计图中计算出“进取”所对应的圆心角的度数.
(3)如果要在这个主题中任选两个进行调查,根据(2)中调查结果,用树状图或列表法,求恰好选到学生关注最多的两个主题的概率(将互助、平等、感恩、和谐、进取依次记为A、B、C、D、E).
王老师在课堂上给出了一个二元方程,让同学们找出它的解.甲写出的解是,乙写出的解是.你找出的与甲、乙不相同的一组解是________.
如图,中,,平分,,,求证:与互相垂直平分.
如图,小华剪了两条宽均为的纸条,交叉叠放在一起,且它们的交角为,则它们重叠部分的面积为( )
A. B. C. D.
如图,已知正方形的边长为,是边上的动点,交于点,垂足为,连结.则的最小值为________.
已知,是的直径,是上一点,和过点的切线互相垂直,垂足为点.
如图,求证:平分;
如图,直线与的延长线交于点,的平分线交于点,交于点,求证:;
在的条件下,如图,若,,求的长.
有一个二次函数,其中、为整数.已知此函数在坐标平面上的图形与轴交于两点,且两交点的距离为.若此图形的对称轴为,则此图形通过下列哪一点?( )
A. (-6,?-1) B. (-6,?-2) C. (-6,?-3) D. (-6,?-4)