题目内容
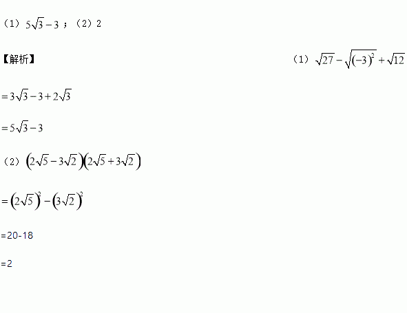
计算:
(1);(2)
分解因式: ________.
二孩子政策的落实引起了全社会的关注,某校学生数学兴趣小组为了了解本校同学父母生育二孩子的态度,在学校抽取了部分同学对父母生育二孩子所持的态度进行了问卷调查,调查分别为非常赞同、赞同、无所谓、不赞同等四种态度,现将调查统计结果制成了如图两幅统计图,请结合两幅统计图,回答下列问题:
(1)在这次问卷调查中一共抽取了__________名学生,a=________%;
(2)请补全条形统计图;
(3)持“不赞同”态度的学生人数的百分比所占扇形的圆心角为__________度;
(4)若该校有3000名学生,请你估计该校学生对父母生育二孩子持“赞同”和“非常赞同”两种态度的人数之和.
若a=2,b= -1,则a+2b+3的值为( )
A. -1 B. 3 C. 6 D. 5
已知函数, 与成反比例, 与成正比例,且当时, ;当时, .求与的函数关系式.
反比例函数的图像经过, 两点,其中,且,则的范围是_________.
函数与在同一坐标系中的大致图像是( )
A. B. C. D.
如图,直线AlA∥BB1∥CC1,若AB=8,BC=4,A1B1=6,则线段A1C1的长是________.
钟鼎文是我国古代的一种文字,是铸刻在殷周青铜器上的铭文,下列钟鼎文中,不是轴对称图形的是( )