题目内容
在下列四个轴对称图形中,对称轴条数最多的是( )
A. 正方形 B. 正五边形 C. 正六边形 D. 正七边形
如图,在菱形ABCD中,∠ADC=72°,AD的垂直平分线交对角线BD于点P,垂足为E,连接CP,则∠CPB的度数是( )
A. 108° B. 72° C. 90° D. 100°
如图,点A、B、C都在上,若∠ACB=46°,则∠AOB的度数是
A.23° B.46° C.60° D.92°
图中的图形2可以看作由图形1向下平移______ 格,再向左平移______ 格得到的.
下列关于图形旋转的说法中,错误的是( )
A. 图形上各点旋转的角度相同
B. 对应点到旋转中心距离相等
C. 由旋转得到的图形也一定可以由平移得到
D. 旋转不改变图形的大小、形状
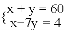
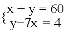
解二元一次方程组: .
“珍爱生命,拒绝毒品”,学校举行的2017年禁毒知识竞赛共有60道题,曾浩同学答对了x道题,答错了y道题(不答视为答错),且答对题数比答错题数的7倍还多4道,那么下面列出的方程组中正确的是( )
A. B. C. D.
中考体育测试前,某区教育局为了了解选报引体向上的初三男生的成绩情况,随机抽测了本区部分选报引体向上项目的初三男生的成绩,并将测试得到的成绩绘成了下面两幅不完整的统计图.
请你根据图中的信息,解答下列问题:
(1)写出扇形图中a=____%,并补全条形统计图;
(2)在这次抽测中,测试成绩的众数和中位数分别是多少?
(3)该区体育中考选报引体向上的男生共有1800人,如果体育中考引体向上达6个以上(含6个)得满分,请你估计该区体育中考中选报引体向上的男生能获得满分的有多少名?
在如图所示的平面直角坐标系内画一次函数y1=-x+4和y2=2x-5的图象,根据图象写出:
(1)方程-x+4=2x-5的解;
(2)当x取何值时,y1>y2?当x取何值时,y1>0且y2<0?