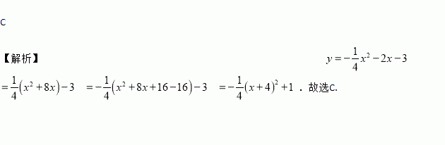
题目内容
把二次函数配方化为形式是( ).
A. B.
C. D.
(本小题10分)如图,已知A(-4,2)、B(n,-4)是一次函数的图象与反比例函数的图象的两个交点.
(1)求此反比例函数和一次函数的解析式;
(2)根据图象写出使一次函数的值小于反比例函数的值的x的取值范围.
估计7﹣2的值在( )
A. 1到2之间 B. 2到3之间 C. 3到4之间 D. 4到5之间
如果、是一元二次方程的两个根,那么的值是__________.
已知关于的函数与轴有交点,则的取值范围是( ).
A. B. C. 且 D. 且
我国中东部地区雾霾天气趋于严重,环境治理已刻不容缓.我市某电器商场根据民众健康需要,代理销售某种家用空气净化器,其进价是200元/台.经过市场销售后发现:在一个月内,当售价是400元/台时,可售出200台,且售价每降低10元,就可多售出50台.若供货商规定这种空气净化器售价不能低于300元/台,代理销售商每月要完成不低于450台的销售任务.
(1)试确定月销售量y(台)与售价x(元/台)之间的函数关系式;并求出自变量x的取值范围;
(2)当售价x(元/台)定为多少时,商场每月销售这种空气净化器所获得的利润w(元)最大?最大利润是多少?
一组数据5,2,3,6,4,这组数据的方差是_____.
我们把两条中线互相垂直的三角形称为“中垂三角形”,例如图1,图2,图3中,AF,BE是△ABC的中线,AF⊥BE,垂足为P,像△ABC这样的三角形均为“中垂三角形”,设BC=a,AC﹣b,AB=c.
【特例探索】
(1)如图1,当∠ABE=45°,c=2时,a= ,b= ;如图2,当∠ABE=30°,c=4时,a= ,b= ;
【归纳证明】
(2)请你观察(1)中的计算结果,猜想a2,b2,c2三者之间的关系,用等式表示出来,请利用图3证明你发现的关系式;
【拓展应用】
(3)如图4,在?ABCD中,点E,F,G分别是AD,BC,CD的中点,BE⊥EG,AD=2,AB=3.求AF的长.
不等式3x+4≥1的解集是________.