搜索
题目内容
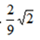
如图, △ABC中,AB=AC=3cm,BC=2cm,以AC为直径作半圆交AB于点D,交BC于点E,则图中阴影部分面积为
cm
2
.
试题答案
相关练习册答案
解析
练习册系列答案
练出好成绩系列答案
全效学习课时提优系列答案
非常1加1系列答案
课时掌控系列答案
乐享导学练习系列答案
快乐5加2课课优优系列答案
全科王同步课时练习系列答案
高效通教材精析精练系列答案
课堂导练1加5系列答案
探究在线高效课堂系列答案
相关题目
26、已知:如图,△ABC中,点D在AC的延长线上,CE是∠DCB的角平分线,且CE∥AB.
求证:∠A=∠B.
27、已知:如图,△ABC中,∠BAC=60°,D、E两点在直线BC上,连接AD、AE.
求:∠1+∠2+∠3+∠4.
27、如图,△ABC中,AD⊥BC于D,DN⊥AC于N,DM⊥AB于M
求证:∠ANM=∠B.
14、如图,△ABC中,∠BAC=120°,AD⊥BC于D,且AB+BD=DC,则∠C的大小是( )
A、20°
B、25°
C、30°
D、大于30°
已知,如图,△ABC中,点D在BC上,且∠1=∠C,∠2=2∠3,∠BAC=70°.
(1)求∠2的度数;
(2)若画∠DAC的平分线AE交BC于点E,则AE与BC有什么位置关系,请说明理由.
关 闭
试题分类
高中
数学
英语
物理
化学
生物
地理
初中
数学
英语
物理
化学
生物
地理
小学
数学
英语
其他
阅读理解答案
已回答习题
未回答习题
题目汇总
试卷汇总
练习册解析答案