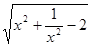
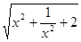
题目内容
已知0<x<1,化简:
-
.
【答案】
2x.
【解析】
-
=
-
=
-
,
因为0<x<1,所以原式=x+
-(
-x)=x+
-
+x=2x.
练习册系列答案
相关题目
题目内容
已知0<x<1,化简:
-
.
2x.
【解析】
-
=
-
=
-
,
因为0<x<1,所以原式=x+
-(
-x)=x+
-
+x=2x.