题目内容
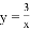
(8分)张师傅驾车运送草莓到某地出售,汽车出发前油箱有油50升,行驶若干小时后,途中在加油站加油若干升,油箱中剩余油量
(升)与行驶时间
(小时)之间的关系如图所示.
![]()
请根据图象回答下列问题:
(1)汽车行驶 小时后加油,中途加油 升;
(2)求加油前油箱剩余油量
与行驶时间
的函数关系式;
(3)已知加油前、后汽车都以70千米/小时匀速行驶,如果加油站距目的地210千米,要到达目的地,问油箱中的油是否够用?请说明理由.
练习册系列答案
相关题目
在某次实验中,测得两个变量m和v之间的4组对应数据如下表:则m与v之间的关系最接近于下列各关系式中的( )
m | 1 | 2 | 3 | 4 |
v | 0.01 | 2.9 | 8.03 | 15.1 |
A. v=2m﹣2 B. v=m
﹣1 C. v=3m﹣3 D. v=m+1