题目内容
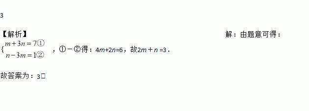
已知是二元一次方程组的解,则2m+n的值为________.
在Rt△ABC中,∠ACB=90°,以点A为圆心,AC为半径,作⊙A交AB于点D,交CA的延长线于点E,过点E作AB的平行线EF交⊙A于点F,连接AF、BF,DF.
(1)试探究BF与AF位置关系,并说明理由;
(2)当∠CAB等于多少度时,四边形ADEF为菱形?请给予证明.
小明同学把一个含有450角的直角三角板在如图所示的两条平行线上,测得∠=120° ,则∠的度数是( )
A. 450 B. 550 C. 650 D. 750
方程2x-y=3和2x+y=9的公共解是( )
A. B. C. D.
分解因式:
(1)a3-a;
(2)8(x2-2y2)-x(7x+y)+xy.
图①是一个长为2a,宽为2b(a>b)的长方形,用剪刀沿图中虚线(对称轴)剪开,把它分成四块形状和大小都一样的小长方形,然后按图②那样拼成一个正方形,则中间空的部分的面积是( )
A. ab B. (a+b)2
C. (a-b)2 D. a2-b2
下列运算正确的是( )
A. (x-1)2=x2-2x-1 B. (a-b)2=a2-b2
C. (a+m)(b+n)=ab+mn D. (m+n)(-m+n)=-m2+n2
下列运算正确的是( )
A. ﹣2x2y•3xy2=﹣6x2y2 B. (﹣x﹣2y)(x+2y)=x2﹣4y2
C. 6x3y2÷2x2y=3xy D. (4x3y2)2=16x9y4
如图,AC⊥CE,AD=BE=13,BC=5,DE=7,那么AC= ____________.