题目内容
将多项式按字母a降幂排列是________________________.
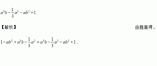
计算:
某礼品包装商店提供了多种款式的包装纸片,将它们沿实线折叠(图案在包装纸片的外部,内部无图案),再用透明胶条粘合,就折成了正方体包装盒,小明用购买的纸片制作的包装盒如右图所示,在下列四种款式的纸片中,小明所选的款式的是( ).
A. B.
C. D.
计算: .
当x______时,分式有意义..
下列等式中,从左到右的变形是因式分解的是( )
A. B. 42=2×3×7
已知:如图,已知线段a、b,请你用直尺和圆规作一条线段,使它等于a+b. (要求:不写作法,保留痕迹,指出所求)
如果a=b,则下列变形正确的是( )
A. 3a=3+b B. C. 5-a=5+b D. a+b=0
如图,在Rt△ABC中,∠C=90°,∠CAB的平分线交BC于D,DE是AB的垂直平分线,垂足为E.若BC=6,则DE的长为( )
A. 1 B. 2 C. 3 D. 4