搜索
题目内容
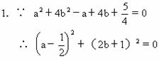
已知实数a,b满足条件:a
2
+4b
2
-a+4b+=0,那么-ab的平方根是[ ]
A.
2; B.2; C.
; D.
.
试题答案
相关练习册答案
C
练习册系列答案
活动填图册系列答案
有效课堂精讲精练系列答案
新课程初中物理同步训练系列答案
单元测评四川教育出版社系列答案
系列答案
锁定100分小学毕业模考卷系列答案
初中学业水平考试历史与社会思想品德精讲精练系列答案
精华讲堂系列答案
同步精练课时作业达标训练系列答案
同步阅读浙江教育出版社系列答案
相关题目
已知实数x、y、a满足:
x+y-8
+
8-x-y
=
3x-y-a
+
x-2y+a+3
,试问长度分别为x、y、a的三条线段能否组成一个三角形?如果能,请求出该三角形的面积;如果不能,请说明理由.
已知实数x、y、a满足:
x+y-8
+
8-x-y
=
3x-y-a
+
x-2y+a+3
,则长度分别为x、y、a的三条线段组成的三角形的面积为( )
A.4
B.5
C.
2
5
D.6
已知实数x、y、a满足:
,试问长度分别为x、y、a的三条线段能否组成一个三角形?如果能,请求出该三角形的面积;如果不能,请说明理由.
已知实数x、y、a满足:
,试问长度分别为x、y、a的三条线段能否组成一个三角形?如果能,请求出该三角形的面积;如果不能,请说明理由.
(2006•内江)已知实数x、y、a满足:
,试问长度分别为x、y、a的三条线段能否组成一个三角形?如果能,请求出该三角形的面积;如果不能,请说明理由.
关 闭
试题分类
高中
数学
英语
物理
化学
生物
地理
初中
数学
英语
物理
化学
生物
地理
小学
数学
英语
其他
阅读理解答案
已回答习题
未回答习题
题目汇总
试卷汇总
练习册解析答案