题目内容
如图,水库中央有一建筑物AB,某人在地面D处测得其顶部A的仰角为30°,然后,自D处沿DB方向行50m至C,又测得其顶部A的仰角为60°,求建筑物AB的高。(精确到0.01m,
)
解:设AB的长为x米,则在Rt△ABC中,∠ACB=60°,
∴BC=
,DB=50+
,
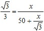
在Rt△ABD中,∠D=30°,∴tan30°=
,即
∴x=
(米),
答:建筑物AB的高均为43.25米。
∴BC=
在Rt△ABD中,∠D=30°,∴tan30°=
∴x=
答:建筑物AB的高均为43.25米。
练习册系列答案
相关题目