题目内容
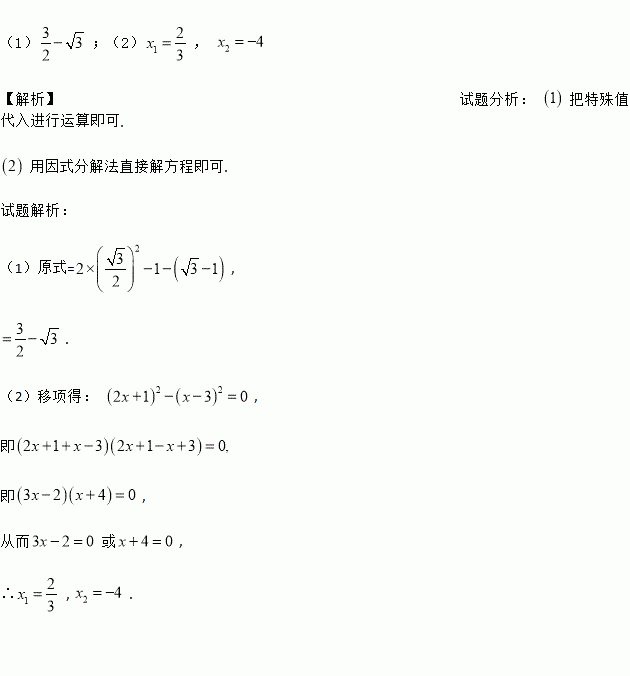
计算(8分)
(1)计算:
(2)解方程
我们用[a]表示不大于a的最大整数,例如:[1.5]=1,[2.3]=2,若[x]+3=1,则x的取值范围是_________.
(1)在□ABCD 中,若∠A∶∠B=5∶4,则∠C=__________;
(2)已知□ABCD 的周长为28 cm,若AB∶BC=3∶4,则AB=__________,BC=__________.
已知A,B,C三地位置如图所示,∠C=90°,A,C两地的距离是4 km,B,C两地的距离是3 km,则A,B两地的距离是_________km;若A地在C地的正东方向,则B地在C地的_____方向.
(9分)已知:如图,在平面直角坐标系中,反比例函数的图象与一次函数的图象交于点和点和.
(1)求这两个函数的表达式;
(2)观察图象,当时,直接写出自变量的取值范围;
(3)求的面积.
函数中自变量的取值范围是__________.
在中, , ,则的值为( )
A. B. C. D.
如图,不一定能推出a∥b的条件是( )
A. ∠1=∠3 B. ∠2=∠4 C. ∠1=∠4 D. ∠2+∠3=180º
下列说法正确的是( )
A. 对角线互相垂直的四边形是菱形 B. 矩形的对角线互相垂直
C. 一组对边平行的四边形是平行四边形 D. 四边相等的四边形是菱形