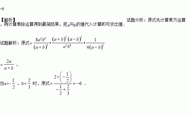
题目内容
先化简,再求值: ,其中a=-,b=.
如图,在△ABC中,EF∥BC,,,则( )
A. 9 B. 10 C. 12 D. 13
-5的相反数是
A.5 B.-5 C.5 D.-
已知?ABCD的对角线AC,BD的长分别为10,6,则AB长的范围是( )
A. AB>2 B. AB<8 C. 2<AB<8 D. 2≤AB≤8
已知2x-3y+z=0,3x-2y-6z=0,且z≠0,求 的值.
遂宁市某生态示范园,计划种植一批核桃,原计划总产量达36万千克,为了满足市场需求,现决定改良核桃品种,改良后平均每亩产量是原计划的1.5倍,总产量比原计划增加了9万千克,种植亩数减少了20亩,则原计划和改良后平均每亩产量各是多少万千克?设原计划每亩平均产量为x万千克,则改良后平均每亩产量为1.5x万千克,根据题意列方程为( )
A. -=20 B. -=20 C. -=20 D. +=20
在Rt△ABC中,∠C=90°,BC=3,AC=4,点P在以C为圆心,5为半径的圆上,连结PA,PB.若PB=4,则PA的长为________.
某地气象统计资料表明,高度每增加1000m,气温就降低大约5℃。现在地面气温是35℃,则10000m高空的气温大约是多少?
如图,P(12,a)在反比例函数图象上,PH⊥x轴于H,则tan∠POH的值为_________ .