题目内容
已知M,N两点关于y轴对称,且点M在反比例函数A.有最小值,且最小值是
B.有最大值,且最大值是-
C.有最大值,且最大值是
D.有最小值,且最小值是-
【答案】分析:先用待定系数法求出二次函数的解析式,再根据二次函数图象上点的坐标特点求出其最值即可.
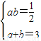
解答:解:因为M,N两点关于y轴对称,所以设点M的坐标为(a,b),则N点的坐标为(-a,b),
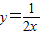
又因为点M在反比例函数
的图象上,点N在一次函数y=x+3的图象上,所以
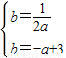
,整理得
,
故二次函数y=abx2+(a+b)x为y=
x2+3x,
所以二次项系数为
>0,故函数有最小值,最小值为y=
=-
.
故选D.
点评:本题考查的是关于y轴对称的点的坐标特征及一次函数与反比例函数图象上点的坐标特征,二次函数的最值等多个知识点,是一道具有一定综合性的好题.
解答:解:因为M,N两点关于y轴对称,所以设点M的坐标为(a,b),则N点的坐标为(-a,b),
又因为点M在反比例函数
故二次函数y=abx2+(a+b)x为y=
所以二次项系数为
故选D.
点评:本题考查的是关于y轴对称的点的坐标特征及一次函数与反比例函数图象上点的坐标特征,二次函数的最值等多个知识点,是一道具有一定综合性的好题.
练习册系列答案
相关题目
已知M,N两点关于y轴对称,且点M在反比例函数y=
的图象上,点N在一次函数y=x+3的图象上,设点M的坐标为(a,b),则二次函数y=abx2+(a+b)x( )
| 1 |
| 2x |
A、有最小值,且最小值是
| ||
B、有最大值,且最大值是-
| ||
C、有最大值,且最大值是
| ||
D、有最小值,且最小值是-
|
已知M、N两点关于y轴对称,且点M在反比例函数y=
的图象上,点N在直线y=x+4上,设点M的坐标为(a,b),则二次函数y=-abx2+(a+b)x有( )
| 2 |
| x |
| A、最小值为2 |
| B、最大值为2 |
| C、最小值为-2 |
| D、最大值为-2 |