题目内容
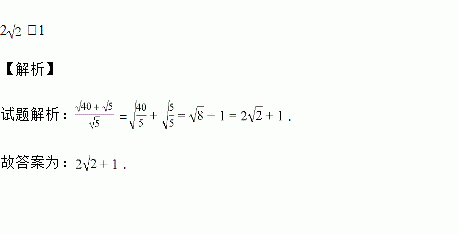
计算:
=_______.
练习册系列答案
相关题目
对某小区20户家庭某月的节约用水情况进行分组统计,结果如下表:
节约用水量x(t) | 0.5≤x<1.5 | 1.5≤x<2.5 | 2.5≤x<3.5 | 3.5≤x<4.5 |
户数 | 6 | 4 | 8 | 2 |
由上表可知,这20户家庭该月节约用水量的平均数是( )
A. 1.8t B. 2.3t C. 2.5t D. 3 t
题目内容
计算:
=_______.
对某小区20户家庭某月的节约用水情况进行分组统计,结果如下表:
节约用水量x(t) | 0.5≤x<1.5 | 1.5≤x<2.5 | 2.5≤x<3.5 | 3.5≤x<4.5 |
户数 | 6 | 4 | 8 | 2 |
由上表可知,这20户家庭该月节约用水量的平均数是( )
A. 1.8t B. 2.3t C. 2.5t D. 3 t