题目内容
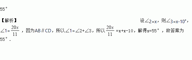
如图是超市里购物车的侧面示意图,扶手AB与车底CD平行,∠2比∠3大10°,∠1是∠2的倍,则∠2的度数是_____.
下列函数是二次函数的是( )
A. y=2x+1 B. y=-2x+1 C. y=+2 D. y=x-2
如图,EF∥AD,AD∥BC,CE平分∠BCF,∠DAC=120°,∠ACF=20°,求∠FEC的度数.
如图,直线AB∥ CD,∠ B=50°,∠ C=40°,则∠E等于( )
A. 70° B. 80° C. 90° D. 100°
如图,CD⊥AB于D,点F是BC上任意一点,FE⊥AB于E,且∠1=∠2,∠3=80°.
(1)试证明∠B=∠ADG;
(2)求∠BCA的度数.
若,则(a-b)2018的值为( )
A. 1 B. -1 C. 2018 D. -2018
下列说法中错误的是( )
A. 负数有一个平方根 B. 正数有两个平 方根,且这两个平方根之和等于0
C. 负数有立方根,并且是负数 D. -1的立方根是-1
已知a≥2,m2﹣2am+2=0,n2﹣2an+2=0,m≠n,则(m﹣1)2+(n﹣1)2的最小值是( )
A. 6 B. 3 C. ﹣3 D. 0
如图,在正方形ABCD中,E是边CD的中点.
(1)用直尺和圆规作⊙O,使⊙O经过点A、B、E(保留作图痕迹,不写作法);
(2)若正方形ABCD的边长为2,求(1)中所作⊙O的半径.