题目内容
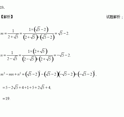
已知m=,n=,求m2﹣mn+n2的值.
在△ABC中,∠B=∠C,与△ABC全等的△DEF中有一个角是100°,那么在△ABC中与这个100°角对应相等的角是____
下列各组数中,是勾股数的
A. 12,15,18 B. 11,60,61 C. 15,16,17 D. 12,35,36
若x2﹣4x+p=(x+q)2,则pq=______.
下列命题中,不正确的是( )
A. 菱形的四条边相等 B. 平行四边形的邻边相等
C. 对角线相等的平行四边形是矩形 D. 正方形的对角线相等且互相垂直平分
计算:.
二次根式中,x的取值范围是( )
A. x≥1 B. x>1 C. x≤1 D. x<1
化简:﹣= .
已知△ABC中,AB=10cm,AC=12cm,AD为边BC上的中线,求中线AD的取值范围___.