题目内容

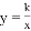
如图,下列判断中错误的是( )

A. 因为∠BAD+∠ADC=180°,所以AB∥CD

B. 因为AB∥CD,所以∠BAC=∠ACD

C. 因为∠ABD=∠CDB,所以AD∥BC

D. 因为AD∥BC,所以∠BCA=∠DAC

C 【解析】根据平行线的性质及判定即可进行判断. 【解析】 ∵∠BAD+∠ADC=180°,∴AB∥CD,∴选项A正确; ∵AB∥CD,∴∠BAC=∠ACD,∴选项B正确; ∵∠ABD=∠CDB,∴AB∥CD,∴选项C错误; ∵AD∥BC,∴∠BCA=∠DAC,∴选项D正确. 故选C.
练习册系列答案
相关题目

违法和不良信息举报电话:027-86699610 举报邮箱:58377363@163.com

精英家教网