题目内容
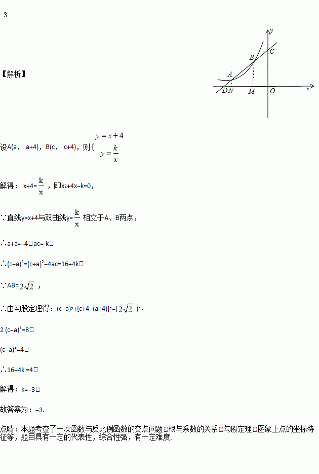
如图,已知直线y=x+4与双曲线y=(x<0)相交于A、B两点,与x轴、y轴分别相交于D、C两点,若AB=,则k=________.
填空:(1)5+(_________)=0; (2)(_________)×(-6)= -54.
如图,已知P点是∠AOB平分线上一点,PC⊥OA,PD⊥OB,垂足为C、D.
(1)求证:∠PCD=∠PDC;
(2)求证:OP是线段CD的垂直平分线.
化简的结果是( )
A. 2 B. 2 C. 3 D. 3
课堂上,数学老师提出了如下问题:
如图1,若线段AD为△ABC的角平分线,请问一定成立吗?
小明和小芳分别作了如下探究:
小明发现:如图2,当△ABC为直角三角形时,且∠C=90°,∠CAB=60°时,结论成立;
小芳发现:如图3,当△ABC为任意三角形时,过点C作AB的平行线,交AD的延长线于点E,利用此图可以证明成立.
如图,AB⊥x轴,B为垂足,双曲线(x>0)与△AOB的两条边OA,AB分别相交于C,D两点,OC=CA,△ACD的面积为3,则k等于( )
A. 2 B. 3 C. 4 D. 6
小明和小华玩“石头、剪子、布”的游戏,若随机出手一次,则小华获胜的概率是( )
A. B. C. D.
点B(3,-2)到x轴的距离是_________;到y轴的距离是____________;
小明参加某网店的“翻牌抽奖”活动.如图,4张牌分别对应价值5,10,15,20(单位:元)的4件奖品.
(1)如果随机翻1张牌,求抽中20元奖品的概率;
(2)如果随机翻两张牌,且第一次翻过的牌不再参加下次翻牌,求所获奖品总值不低于30元的概率.