题目内容
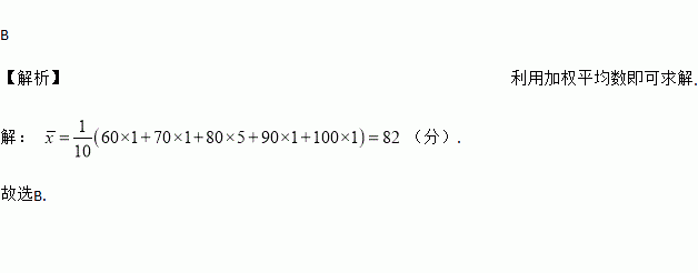
在某次知识竞赛中,10名学生的成绩统计如下表:则这10名学生成绩的平均数为()
A. 80分 B. 81分 C. 82分 D. 83分
如图,lA、lB分别表示A步行与B骑车在同一路上行驶的路程S与时间t的关系.
(1)B出发时与A相距 千米.
(2)走了一段路后,自行车发生故障,进行修理,所用的时间是 小时.
(3)B出发后 小时与A相遇.
(4)求出A行走的路程S与时间t的函数关系式.
如图,A是反比例函数(x>0)图象上一点,点B、D在y轴正半轴上,△ABD是△COD关于点D的位似图形,且△ABD与△COD的相似比是1︰3,△ABD的面积为1,则该反比例函数的表达式为________.
甲、乙两人5次射击命中的环数如下:甲:7,9,8,6,10;乙7,8,9,8,8.则这两人5次射击命中的环数的平均数甲_____乙,方差____.(填“>”“<”或“=”)
某校把学生的纸笔测试、实践能力、成长记录三项成绩分别按50%、20%、30%的比例计入学期总评成绩,90分以上为优秀.甲、乙、丙三人的各项成绩如下表(单位:分),学期总评成绩优秀的是( )
A. 甲 B. 乙、丙 C. 甲、乙 D. 甲、丙
如图,在?ABCD中 过点A作AE⊥DC,垂足为E,连接BE,F为BE上一点,且∠AFE=∠D.
(1)求证:△ABF∽△BEC;
(2)若AD=5,AB=8,sinD=,求AF的长.
﹣tan30°+(π﹣4)0=_____.
解下面的不等式(组),并把解集在数轴上表示出来:
(1) ; (2)
已知,求的平方根.