题目内容
已知
,延长BC到D,使
.取
的中点
,连结
交
于点
.![]()
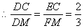
【小题1】求
的值
【小题2】若
,求
的长
【小题1】过点F作
,交
于点
.![]()
为
的中点
为
的中点,
.…………………………1分
由
,得
,
……3分![]()
…………………4分
………………………5分
【小题2】若
,求
的长.
又
……………………7分
.……………………8分
(方法不唯一)
解析
练习册系列答案
相关题目
题目内容
已知
,延长BC到D,使
.取
的中点
,连结
交
于点
.![]()
【小题1】求
的值
【小题2】若
,求
的长
【小题1】过点F作
,交
于点
.![]()
为
的中点
为
的中点,
.…………………………1分
由
,得
,
……3分![]()
…………………4分
………………………5分
【小题2】若
,求
的长.
又
……………………7分
.……………………8分
(方法不唯一)
解析