题目内容

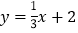
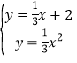
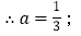
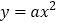
【题目】已知:如图直线y=x+2与抛物线y=ax2交于A.B两点,点B的坐标(3,m),直线ABy轴于点C.

(1)求a,m的值;

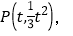
(2)点P在对称轴右侧的抛物线上,设P点横坐标为t,PAB的面积为s,求st的函数关系式;

(3)在(2)的条件下,在x轴上有一点Q,当以B.C.P.Q为顶点的四边形是平行四边形时,求点Q的坐标.

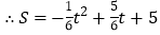
【答案】(1)a=,m=3;(2)S=﹣t2+t+5S=t2t﹣5;(3)Q的坐标为(﹣3,0).

【解析】试题分析:(1)把B(3,m)分别代入,根据待定系数法即可求得;
(2)联立方程求得的坐标,设点横坐标为,则进而求得D的坐标,然后根据求得即可;
(3)由的坐标,根据平行四边形的性质即可确定的坐标为1,代入抛物线解析式求得横坐标,进而即可求得的坐标.

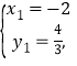
试题解析:(1)∵直线经过B(3,m),

解得:m=3,

B(3,3),

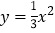
代入

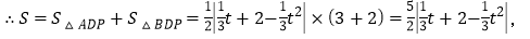
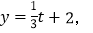
(2)

P点横坐标为t,

x=t代入得:

(3)由直线AB可知C(0,2),

B(3,3),

B点的纵坐标和C点的差为32=1,

PQ的纵坐标的差为1,

∵点Qx轴上,

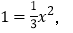
P的纵坐标为1,

代入抛物线,

解得 (舍去),

B的横坐标为3,

Q(m,0),

∴点Q的坐标为

练习册系列答案
相关题目

违法和不良信息举报电话:027-86699610 举报邮箱:58377363@163.com

精英家教网