题目内容
二元一次方程组的解为( )
A. B. C. D.
解下列不等式,并把解集在数轴上表示出来.
(1)5(x﹣1)≤3(x+1)
(2)﹣>﹣2
(3)
把化为最简二次根式,结果是_____.
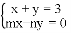
若关于x,y的方程组与有相同的解,则m=____,n=____.
某班去看演出,甲种票每张24元,乙种票每张18元,如果35名学生购票恰好用去750元,那么甲种票买了____张,乙种票买了____张.
如图,E是□ABCD的边AD的中点,连接CE并延长交BA的延长线于F,若CD=6,求BF的长.
如图,在□ABCD中, AB=cm,AD=4 cm,AC⊥BC , 则△DBC比△ABC的周长长________cm.
解方程:().().
如图,已知和点.将绕点顺时针旋转得到.
()在网格中画出.
()若,直接写出平行四边形的顶点的坐标.