题目内容
计算下列各题:
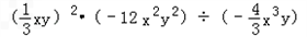
(1)
(2) (x+2)2﹣(x+1)(x﹣1)
(3)
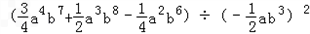
(4)
(1)
(2) (x+2)2﹣(x+1)(x﹣1)
(3)
(4)
解:
(1)
=
x2y212x2y2÷
x3y
=xy3;
(2) (x+2)2﹣(x+1)(x﹣1)
=x2+4x+4﹣x2+1
=4x+5;
(3)
=4×
﹣1
=﹣
;
(4)
=
=3a2b+2ab2﹣1.
(1)
=
=xy3;
(2) (x+2)2﹣(x+1)(x﹣1)
=x2+4x+4﹣x2+1
=4x+5;
(3)
=4×
=﹣
(4)
=
=3a2b+2ab2﹣1.
练习册系列答案
相关题目