题目内容
计算:(1)
(2)解方程组
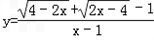
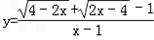
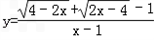
(3)设
,求2x+4y的值.
(2)解方程组
(3)设
解:(1)原式=
﹣
+3
=3
﹣3
+3
=3
;
(2)
将方程①变形得,y=2x+4③,
将③代入②中得,4x﹣5(2x+4)=﹣23,解得x=
,
代入③中解得,y=5故方程组的解为:
;
(3)从
可知,4﹣2x≥0,2x﹣4≥0,
解这两个不等式得,x=2它满足x﹣1=1≠0,
所以x=2是方程
的解,
将x=2代入
中得,y=﹣12x+4y=2×2﹣4 ×1=0.
(2)
将③代入②中得,4x﹣5(2x+4)=﹣23,解得x=
代入③中解得,y=5故方程组的解为:
(3)从
解这两个不等式得,x=2它满足x﹣1=1≠0,
所以x=2是方程
将x=2代入
练习册系列答案
相关题目