题目内容
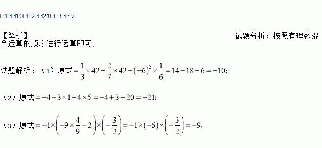
计算
(1);
(2)﹣22+3×(﹣1)2010﹣|﹣4|×5;
(3)﹣1×.
观察并分析下列数据,寻找规律: , ,3, , , ,......,那么第10个数据应是________。
如图是三个反比例函数 ,在x轴上方的图像,由此观察得到kl、k2、k3的大小关系为( )
A. k1>k2>k3 B. k3>k1>k2 C. k2>k3>k1 D. k3>k2>k1
如果分式的值为0,那么x为( )
A.-2 B.0 C.1 D.2
已知A=﹣3x2﹣2mx+3x+1,B=2x2+mx﹣1
(1)求5A﹣3(A﹣B)的值
(2)若(1)中的值与x的值无关,求m的值.
若x、y互为相反数,a、b互为倒数,|n|=2,则5x+5y﹣=_____.
若M=3x2﹣5x+2,N=2x2﹣5x+1,则M、N的大小关系为( )
A. M>N B. M=N C. M<N D. 不能确定
如果一个数的平方根是a+6和2a﹣15,则这个数为________.
的绝对值是_____, 的相反数是_____, 的倒数是_____.