题目内容
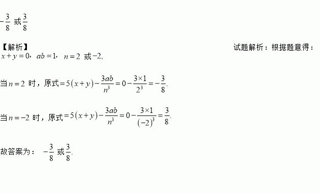
若x、y互为相反数,a、b互为倒数,|n|=2,则5x+5y﹣=_____.
如图,有一块直角三角形纸片,两直角边AC=6cm,BC=8cm.现将直角边AC沿直线AD折叠,使它落在斜边AB上,且与AE重合,则CD等于( )
A. 2cm B. 3cm C. 4cm D. 5cm
已知分式为正整数,试求出a的值.
“天上星星有几颗,7后跟上22个 0” ,这是国际天文学联合大会上宣布的消息,用科学记数法表示宇宙空间星星数量为( )
A. 700×1020 B. 7×1023 C. 0.7×102 D. 7×1022
计算
(1);
(2)﹣22+3×(﹣1)2010﹣|﹣4|×5;
(3)﹣1×.
﹣(+5)的绝对值是_____,﹣2的倒数是_____.
中国幅员辽阔,陆地面积约为960万平方公里,“960万”用科学记数法表示为( )
A.0.96×107 B.9.6×106 C.96×105 D.9.6×102
已知AB//x轴,A点的坐标为(3,2),并且AB=5,则B点的坐标为( )
A. (8,2) B. (-2,2) C. (8,-2)或(-2,-2) D. (8,2)或(-2,2)
如图所示是某台阶的一部分,如果点A的坐标为(0,0),B点的坐标为(1,1).
(1)请建立适当的平面直角坐标系.并写出点C,D,E,F的坐标;
(2)如果该台阶有10级,你能得到该台阶的高度吗?