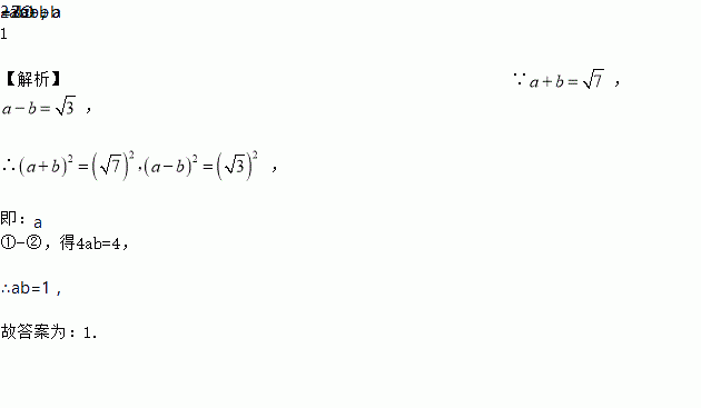
题目内容
若
,
.则
______.
练习册系列答案
相关题目
一家鞋店在一段时间内销售某种女鞋50双,各种尺码的销售量如表所示:
尺码 | 22 |
| 23 |
| 24 |
| 25 |
销售量 | 1 | 2 | 31 | 5 | 7 | 3 | 1 |
如果你是店长,为了增加销售量,你最关注哪个统计量![]()
A. 平均数 B. 众数 C. 中位数 D. 方差
题目内容
若
,
.则
______.
一家鞋店在一段时间内销售某种女鞋50双,各种尺码的销售量如表所示:
尺码 | 22 |
| 23 |
| 24 |
| 25 |
销售量 | 1 | 2 | 31 | 5 | 7 | 3 | 1 |
如果你是店长,为了增加销售量,你最关注哪个统计量![]()
A. 平均数 B. 众数 C. 中位数 D. 方差