题目内容
若a<b,则﹣5a__________﹣5b(填“>”“<”或“=”).
函数y=ax﹣a与y=(a≠0)在同一直角坐标系中的图象可能是( )
A. B.
C. D.
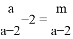
若关于a的分式方程有增根,则m的值为__________.
如图,点E是正方形ABCD内的一点,将△BEC绕点C顺时针旋转至△DFC.
(1)请问最小旋转度数为多少?
(2)指出图中的全等图形以及它们的对应角?
(3)若∠EBC=30°,∠BCE=80°,求∠F的度数.
如图,点P为∠BAC内的一点,点E、F分别是点P关于AB、AC的对称点,若EF=2013cm.则△QPK的周长是__________.
已知是二元一次方程组的解,则的值为( )
A. ±2 B. C. 2 D. 4
下列长度的三条线段能组成三角形的是( )
A. 1,2,3 B. 3,4,5 C. 3,1,1 D. 3,4,7
若两个相似三角形的面积比为1:4,则这两个相似三角形的周长比是_______.
若,则= .