题目内容
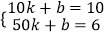
【题目】某工厂生产一种产品,当生产数量至少为10吨,但不超过50吨时,每吨的成本y(万元/吨)与生产数量x(吨)的函数关系的图象如图所示.![]()
(1)求y关于x的函数解析式,并写出x的取值范围;
(2)当生产这种产品每吨的成本为7万元时,求该产品的生产数量.
【答案】
(1)解:设y=kx+b(k≠0),
由图可知,函数图象经过点(10,10),(50,6),则
,
解得
.
故y=﹣
x+11(10≤x≤50)
(2)解:y=7时,﹣
x+11=7,
解得x=40.
答:每吨成本为7万元时,该产品的生产数量40吨
【解析】根据图像上点的坐标,函数图象经过点(10,10),(50,6),用待定系数法求出y关于x的函数解析式;(2)根据当生产这种产品每吨的成本为7万元时,代入求出x的值即可.
练习册系列答案
相关题目
【题目】某饮料厂开发了A,B两种新型饮料,主要原料均为甲和乙,每瓶饮料中甲、乙的含量如下表所示.现用甲原料和乙原料各2800克进行试生产,计划生产A,B两种饮料共100瓶.设生产A种饮料x瓶,解析下列问题:
原料名称 | 甲 | 乙 |
A | 20克 | 40克 |
B | 30克 | 20克 |
(1)有几种符合题意的生产方案写出解析过程;
(2)如果A种饮料每瓶的成本为2.60元,B种饮料每瓶的成本为2.80元,这两种饮料成本总额为y元,请写出y与x之间的关系式,并说明x取何值会使成本总额最低?