题目内容
计算:___________________
下列说法中,正确的个数有( )
①同位角相等②三角形的高在三角形内部
③一个多边形的边数每增加一条,这个多边形的内角和就增加180°,
④两个角的两边分别平行,则这两个角相等
A. 1个 B. 2个 C. 3 个 D. 4个
如图,连接四边形ABCD各边中点,得到四边形EFGH,还要添加_____条件,才能保证四边形EFGH是矩形.
如图,已知,平分,平分.说明的理由.
【解析】因为(已知),
所以∥(________________________________).
所以(_____________________________).
因为平分(已知),
所以(_______________________________).
同理.
所以(___________________________________).
如图,如果∥,,平分,那么__________°.
的平方根是_____________.
如图1,将△ABC纸片沿中位线EH折叠,使点A对称点D落在BC边上,再将纸片分别沿等腰△BED和等腰△DHC的底边上的高线EF,HG折叠,折叠后的三个三角形拼合形成一个矩形,类似地,对多边形进行折叠,若翻折后的图形恰能拼合成一个无缝隙、无重叠的矩形,这样的矩形称为叠合矩形.
(1)将□ABCD纸片按图2的方式折叠成一个叠合矩形AEFG,则操作形成的折痕分别是线段_______,_________;S矩形AEFG:S□ABCD=__________.
(2)□ABCD纸片还可以按图3的方式折叠成一个叠合矩形EFGH,若EF=5,EH=12,求AD的长;
(3)如图4,四边形ABCD纸片满足AD∥BC,AD<BC,AB⊥BC,AB=8,CD=10,小明把该纸片折叠,得到叠合正方形,请你帮助画出一种叠合正方形的示意图,并求出AD、BC的长.
小敏不慎将一块平行四边形玻璃打碎成如图的四块,为了能在商店配到一块与原来相同的平行四边形玻璃,他带了两块碎玻璃,其编号应该是( )
A. ①② B. ①④ C. ②③ D. ③④
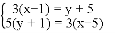
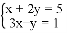
解方程组:
(1);
(2).