题目内容
(自贡中考)不等式组的解集是____________
某商店今年1月份的销售额是2万元,3月份的销售额是3.38万元.
(1)求从1月份到3月份,该商店销售额平均每月的增长率;
(2)如果该商店4月份销售额增长率保持不变,销售额能否达到4.5万元,若不能,请说明理由.
若3y-4与2x-5成正比例,则y是x的( )
A. 正比例函数 B. 一次函数 C. 没有函数关系 D. 以上均不正确
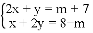
(绵阳中考)在关于x,y的方程组 中,未知数满足x≥0,y>0,那么m的取值范围在数轴上应表示为( )
A. B. C. D.
已知点P(3-m,m-1)在第二象限,则m的取值范围在数轴上表示正确的是( )
不等式组解集在数轴上表示正确的是( )
若关于x的不等式组无解,则a的取值范围是__.
【答案】a≥7
【解析】
解①得
;
解②得
∵不等式组无解,
∴a≥7.
点睛:本题考查了一元一次不等式组的知识,解一元一次不等式组的应用,解此题的关键是能根据不等式组无解得出关于m的不等式组.
【题型】填空题【结束】21
解不等式组:,并把它的解集在数轴上表示出来.
不等式组的解集为( )
A. x≥2 B. x<3 C. 2≤x<3 D. x>3
已知矩形的长为,宽为,则面积为______cm2.