题目内容

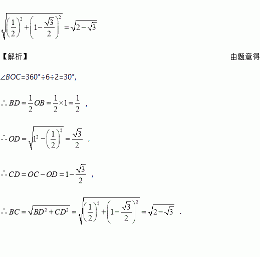
“割之弥细,所失弥少,割之又割,以至于不可割,则与圆周合体而无所失矣.”这是我国古代著名数学家刘徽在《九章算术注》中提到的“如何求圆的周长和面积”的方法,即“割圆术”.“割圆术”的主要意思是用圆内接正多边形去逐步逼近圆.刘徽从圆内接正六边形出发,将边数逐次加倍,并逐次得到正多边形的周长和面积.如图,AB是圆内接正六边形的一条边,半径OB=1,OC⊥AB于点D,则圆内接正十二边形的边BC的长是_________________(结果不取近似值).

【解析】由题意得 ∠BOC=360°÷6÷2=30°, ∴ , ∴ , ∴ , ∴ .
练习册系列答案
相关题目

违法和不良信息举报电话:027-86699610 举报邮箱:58377363@163.com

精英家教网