题目内容
已知,则值为____________.(2分)
如图,在?ABCD中,∠C=40°,过点D作AD的垂线,交AB于点E,交CB的延长线于点F,则∠BEF的度数为________.
在数轴上表示下列不等式的解集:
(1)x>3
(2)x≥-2
(3)x≤4
(4)x<-
计算:2 0182-4 038×2 018+2 0192.
先化简,后求值:
(1) ,其中.
(2) +1 ,其中a=,b=-3
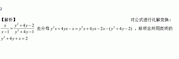
若关于的分式方程无解,则=__________.
甲车行驶30千米与乙车行驶40千米所用时间相同,已知乙车每小时比甲车多行驶15千米,设甲车的速度为x千米/小时,依据题意列方程正确的是( )
A. B. C. D.
已知:如图,∠1=∠2,则不一定能使△ABD≌△ACD的条件是 ( )
A. AB=AC B. BD=CD C. ∠B=∠C D. ∠BDA=∠CDA
已知⊙O的直径AB与弦AC的夹角为35°,过C点的切线PC与AB的延长线交于点P,则∠P等于( )
A. 15° B. 20° C. 25° D. 30°