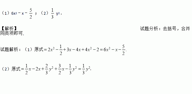
题目内容
化简
(1)(2x2﹣
+3x)﹣4(x﹣x2+
)
(2)
x﹣2(x﹣
)﹣(﹣
)
练习册系列答案
相关题目
随着人们生活水平的提高,家用轿车越来越多地进入家庭.王先生家中买了一辆小轿车,他连续记录了7天中每天行驶的路程(如下表),以50km为标准,多于50km的记为“+”,不足50km的记为“﹣”,刚好50km的记为“0”.
第一天 | 第二天 | 第三天 | 第四天 | 第五天 | 第六天 | 第七天 | |
路程(km) | ﹣8 | ﹣11 | ﹣14 | 0 | ﹣16 | +41 | +8 |
(1)请求出这七天中平均每天行驶多少千米?
(2)若每行驶100km需用汽油6升,汽油价5.8元/升,请估计王先生家一个月(按30天计)的汽油费用是多少元?
(1)这七天中平均每天行驶50千米;(2)估计王先生家一个月(按30天计)的汽油费用是522元 【解析】试题分析:(1)求出表格值数字之和,与50与7的积相加,除以7即可求出结果; (2)根据总路程乘以100千米的耗油量,可得总耗油量,根据汽油的单价乘以总耗油量,可得答案. 【解析】 (1)[50×7+(﹣8﹣11﹣14+0﹣16+41+8)]÷7=50(千米), 答:这...